ArthVeda Mutual Fund Wealth Calculator: Harness the Power of Compounding
At ArthVeda, we believe that financial freedom is not a product of luck, but a result of deliberate mathematical planning. Whether you are investing a lump sum or starting a Systematic Investment Plan (SIP), our Mutual Fund Calculator helps you visualize your wealth creation journey with professional precision. Discover how small, disciplined investments today can compound into a massive corpus for your future goals—be it early retirement, purchasing a luxury home, or funding your child’s education.
In the volatile financial landscape of 2026, relying on “gut feeling” is a recipe for mediocrity. A reliable Mutual Fund Calculator acts as your digital compass, showing you exactly how much capital you need to deploy today to reach your destination tomorrow.
SIP Wealth Predictor
Wealth Projection Schedule
| Year | Invested Amount | Wealth Gained | Total Wealth |
|---|
Table of Contents
1. The Strategic Importance of Wealth Projection
Investing without a target is like sailing without a map. Most retail investors fail not because they choose bad funds, but because they underestimate the time required for compounding to take effect. By using a Mutual Fund Calculator, you shift your focus from “short-term noise” to “long-term signals.”
SIP Wealth Predictor (Sample 10-Year Outlook)
To understand the baseline, let’s look at a standard professional starting point provided by our internal Mutual Fund Calculator logic:
- Monthly Investment: ₹5,000
- Expected Return Rate (p.a %): 12.0%
- Time Period: 10 Years
- Total Invested Amount: ₹6,00,000
- Estimated Returns: ₹5,61,695
- Total Value: ₹11,61,695
As you can see, in just one decade, your returns nearly match your principal. However, if you extend that same investment to 20 years, the results move from linear to exponential—this is the insight only a professional-grade Mutual Fund Calculator can provide.
2. How to Use This Calculator Effectively
Investing doesn’t have to be guesswork. To get the most accurate projection from our Mutual Fund Calculator, enter your details based on realistic market expectations:
- Monthly Investment (SIP) / Lumpsum: Enter the specific amount you can commit to without fail. You can start with as little as ₹500 a month.
- Expected Annual Return (%): While it’s tempting to enter 20%, a professional Mutual Fund Calculator user should use 10% to 15% for equity expectations to remain grounded.
- Time Period (Years): Choose your horizon. Remember: The “Magic of Compounding” only truly becomes visible after the 7 to 10-year mark!
3. Understanding the Magic: The Mathematics of SIP
Mutual funds generate wealth through the principle of Compound Interest. This means you earn returns not just on your original investment, but also on the accumulated profits from previous years. When you enter data into a Mutual Fund Calculator, it applies a specific financial formula to simulate this growth.
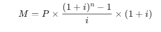
For the mathematically curious, the future value of a Systematic Investment Plan (SIP) is calculated using this formula:

Where:
- M = Total Expected Maturity Amount
- P = Monthly Investment (SIP)
- i = Monthly Rate of Return
- n = Total Number of Months
While the math looks complex, our Mutual Fund Calculator does the heavy lifting in milliseconds, allowing you to focus on strategy rather than arithmetic.
4. Why You Must Calculate Your Returns Regularly
In a world of rising costs, a Mutual Fund Calculator is your best defense against “Money Illusion”—the tendency to think of money in nominal terms rather than real purchasing power.
I. Goal Setting
Knowing your target corpus helps you decide exactly how much you need to save every month. A Mutual Fund Calculator bridges the gap between your current reality and your future aspirations.
II. Inflation Defense
A standard savings account in 2026 might earn you 3-4%. By using a Mutual Fund Calculator, you can visualize how equity investments are one of the few ways to ensure your wealth actually grows in “real” terms against inflation.
III. Discipline
Watching your estimated wealth grow into crores on the Mutual Fund Calculator screen is the best psychological motivation to never miss an SIP installment. It turns a “chore” (saving) into a “game” (wealth building).
5. Wealth Projection Schedule: A Year-by-Year Breakdown
When you run a 20-year simulation on the Mutual Fund Calculator, notice the “Wealth Gained” column. In the first 5 years, the growth is slow. Between years 10 and 15, the “Wealth Gained” often exceeds the “Invested Amount.” By year 20, the returns are typically 3x to 4x your total investment. This visualization is exactly why a Mutual Fund Calculator is an essential tool for every serious Indian investor.
6. Comparing Lumpsum vs. SIP
Should you invest all at once or bit-by-bit? A versatile Mutual Fund Calculator allows you to compare both. While Lumpsum investments benefit from a longer time in the market, SIPs offer the benefit of “Rupee Cost Averaging.” By toggling between these two modes on your Mutual Fund Calculator, you can decide which strategy fits your current liquidity profile.
7. The Role of “Step-up” in Compounding
In 2026, a static SIP is no longer enough. As your salary grows, your investment should too. If you use an advanced Mutual Fund Calculator that allows for an annual increase (e.g., 10% step-up), you will find that you can reach your goal of ₹1 Crore nearly 3-5 years faster than with a flat investment.
8. Analyzing Risk with the Calculator
While the Mutual Fund Calculator shows a smooth upward curve, real markets have “drawdowns.” A professional investor uses the tool to prepare for various scenarios. If the market delivers only 8% instead of 12%, how does that change your retirement date? Knowing these numbers beforehand prevents panic selling during market dips.
9. Integrating the Calculator into Your Monthly Budget
At ArthVeda, we recommend using the Mutual Fund Calculator on the 1st of every month. Before you pay your rent or utility bills, “pay yourself first” by calculating your projected wealth. This keeps your long-term sovereignty at the forefront of your daily financial decisions.
Important Disclaimer (Please Read Carefully)
- Standard Mutual Fund Warning: Mutual Fund investments are subject to market risks, read all scheme-related documents carefully.
- Calculator Limitations: The Mutual Fund Calculator provided by ArthVeda is for educational and illustrative purposes only. The figures are based on the expected rate of return entered by the user and assume a constant rate of return compounded annually. Real-world financial markets are volatile. Actual returns will fluctuate based on market conditions, applicable exit loads, and tax structures like Long-Term Capital Gains (LTCG) tax. This Mutual Fund Calculator does not guarantee future performance and should not be construed as certified financial advice. Always consult a SEBI-registered financial advisor before making investment decisions.
Closing Insight from ArthVeda
“The best time to start an SIP was ten years ago. The second best time is today. Use the Mutual Fund Calculator to define your ‘Why,’ and the ‘How’ will follow through disciplined action. In the world of finance, time is more valuable than timing.”